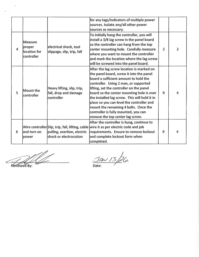
35-Hang a Controller

<< Click to Display Table of Contents >>

Navigation:  Safe Work Procedures >

35-Hang a Controller

SJP-HangController1SJP-HangController2